Soalan objektif pengajian am bab 3 penggal 2 soalan objektif pengajian am bab 2 soalan objektif pengajian am bab 7 soalan objektif pengajian am bab 6 soalan objektif pengajian am penggal 3 soalan objektif pengajian am penggal 1 soalan objektif pengajian malaysia soalan objektif pengajian am contoh soalan objektif kertas soalan objektif soalan objektif pt3
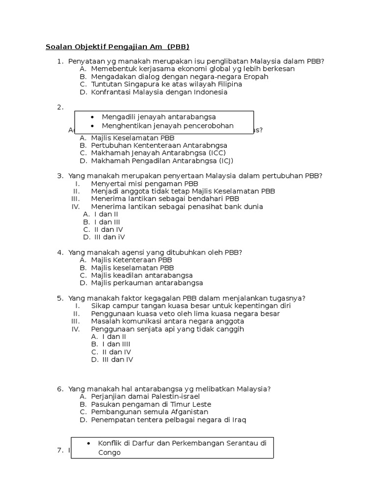
Soalan Objektif Pengajian Am Bab 3. View latihan bab 3 sistem dan struktur pentadbiran negara.pdf from it aacs at tunku abdul rahman university college, kuala lumpur. Baginda juga mempunyai peranan dan fungsi dalam tiga cabang . Agama islam dan agama lain sebagai agama persekutuan. Ketua negara dikenali sebagai perdana menteri.

